НАПЕРСТЯНКА — рід Digitalis L., належить до родини ранникових Scrophulariaceae і налічує до 36 видів дво- та багаторічних трав’янистих рослин. Більшість видів ростуть у Західній Європі, 7 видів — на території СНД, деякі з них є ендемами Кавказу. В Україні культивуються як ЛР, так і декоративні рослини. Н. використовується людством понад 4000 років, про що свідчать матеріали археологічних знахідок. Родова назва Digitalis походить від digitalis — розміром з палець, пальцевий (лат. digitus — палець) і характеризує наперсткоподібну форму квіток. Видові назви характеризують особливості будови або забарвлення квіток. У 1543 р. німецький ботанік і лікар Л. Фухс (L. Fuchs) уперше описав і дав назву видам Н. Найбільш відомі види: Н. пурпурова — D. purpurea L., Н. великоквіткова — D. grandiflora Mill. (syn. D. ambiqua Murr.), Н. шерстиста — D. lanata Ehrb., Н. іржава — D. ferruginea L., Н. війчаста — D. ciliata Trantv. Усі види Н. розділяють на 2 секції. Секція 1 — grandiflorae. Рослини мають червоні або жовті квітки з однобічною китицею; трубка віночка дзвоникова або наперсткоподібна. До цієї секції відносять Н. пурпурову, Н. великоквіткову й Н. війчасту. Секція 2 — globiflora. Рослини з темно- або світло-бурими квітками, зібраними в багатобічну китицю. Трубка віночка майже куляста. До цієї секції відносять Н. шерстисту, Н. іржаву, Н. Шишкіна, Н. жовту. У перший рік життя всі види Н. утворюють розетку прикореневих листків, а на другий рік розвивається один або декілька квітконосів висотою від 40 до 120 см.
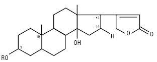
Офіцинальними видами є Н. пурпурова, Н. великоквіткова, Н. шерстиста. Н. пурпурова — дворічна трав’яниста рослина. Листки прикореневої розетки великі, видовжено-яйцеподібні, по краю нерівногородчасті, на довгих крилатих черешках, зверху зморшкуваті, знизу опушені, із сіткою виступаючих жилок. Середні стеблові листки короткочерешкові, верхні — сидячі. Квітки великі, червоні (рідко білі), всередині білі з пурпуровими плямами. Плід — яйцеподібна коробочка з численним дрібним насінням бурого кольору. Н. великоквіткова — багаторічна залозистоопушена трав’яниста рослина з жовтими квітками, зібраними в невелику китицю. Листки видовжено-ланцетні, з нерівномірно пильчастими краями і гострою верхівкою. Поширена в Європі та Західному Сибіру. Н. шерстиста — дво- або багаторічна трав’яниста рослина з невеликим кореневищем та стрижневим коренем, видовжено-яйцеподібними цільнокраїми нижніми листками, які відмирають на початку цвітіння. Верхні листки сидячі, ланцетні. Суцвіття — дуже густа опушена багатобічна китиця. Віночок буро-жовтий, з бузковими жилками, кулясто-здутий, з видовженою і виступаючою середньою часткою нижньої губи. Рослина поширена на Балканах, у Молдові, в Закарпатті. Н. іржава та Н. війчаста є ендемічними видами Кавказу, де утворюють великі зарості серед букових лісів. Н. іржава отримала назву від забарвлення віночка в іржаво-жовтий колір з брунатними крапками. Прикореневі листки видовжено-ланцетні, цілокраї, з крилатим черешком, стеблові — сидячі. Н. війчаста має дрібні (до 2 см), жовтувато-білі, з війчастими краями віночки, зібрані в пухку китицю на невисокому квітконосі. Стеблові листки сидячі, вузьколанцетні, загострені. Сировиною Н. війчастої є трава. Від усіх інших видів Н. заготовляють листки. Заготівля здійснюється тільки в ясну суху погоду, під час цвітіння, на початку плодоносіння. Сушіння листків починають відразу після збору. Листки сушать швидко, при температурі 55–60 °С, щоб припинити дію ферментів, запобігти гідролізу й отримати нативні глікозиди, або повільно, при 20 °С, протягом 7–10 днів, якщо потрібно отримати вторинні глікозиди. Сушать в теплових сушарках або в темних, сухих, добре провітрюваних приміщеннях. Смак листків усіх видів Н. гіркий, запах неприємний. Сировина токсична (!). Біологічну активність серцевих глікозидів визначають на лабораторних тваринах і виражають в одиницях дії. Доброякісна сировина повинна мати біологічну активність: листки Н. пурпурової та та Н. великоквіткової — 50–66 жаб’ячих одиниць дії (ЖОД), Н. шерстистої — не менше 100 ЖОД. ЖОД — це мінімальна кількість серцевого глікозиду, яка викликає систолічну зупинку серця жаби протягом 1 год. Вивчення серцевих глікозидів має багаторічну історію. У 1835 р. французькі вчені А. Гомолл (A. Homolle) і Т. Кевен (T. Quevenne) отримали премію Французької фармацевтичної спілки за виділення серцевих глікозидів із листків Н. У 1869 г. француз К.А. Нативелл (C.A. Nativelle) уперше отримав кристалічний глікозид дигіталін. Багаторічні дослідження вчених різних країн (А. Віндаус, Ф. Чеше, А. Штолль, Т. Рейхштейн, Д.Г. Колесніков, Я.І. Ходжай, М.А. Ангарська, Н.К. Абубакіров, О.Д. Турова, І.Г. Кутателідзе, Е.П. Кемертелідзе та ін.) дозволили встановити структуру та склад серцевих глікозидів. Так, у Н. пурпурової міститься понад 50 кардіотонічних глікозидів та їх агліконів. Найбільш вивченими глікозидами є пурпуреаглікозид А, пурпуреаглікозид В і глюкогіталоксин.

R = Dt-О-Dt-O-Dt-O-Glu
Пурпуреаглікозид А
Крім карденолідів, знайдені стероїдні сапоніни (дигітонін, гітонін, тигонін), які сприяють підвищенню розчинності і всмоктуванню глікозидів; флавоноїди (глікозиди апігеніну й лютеоліну), що мають діуретичну дію; ароматичні кислоти (оксибензойна, ванілінова, α-кумарова, кавова, ферулова та ін.). Листки Н. шерстистої містять близько 30 карденолідів. Основними є первинні глікозиди — ланатозиди А, В, С, D і Е.

R = Dt-О-Dt-O-AcDt-O-Glu
Ланатозид А
Близькі за будовою до пурпуреаглікозидів, вони відрізняються наявністю ацетильної групи в молекулі дигітоксози. Тому ферментативне розщеплення ланатозидів проходить не в 2 етапи, як у пурпуреаглікозидів, а більш повільно — в 3 етапи. З інших класів природних сполук листки містять флавоноїди (лютеолін, скутелярин) та стероїдні сапоніни.
Препарати Н. використовують у медичній практиці для регуляції діяльності серцево-судинної системи. Кардіотонічний ефект розвивається внаслідок вибіркової дії глікозидів на міокард. Показанням до застосування є порушення кровообігу II і III ступеня, пороки серця, аритмія, гіпертонія. Кардіоглікозиди посилюють систолу, поглиблюють діастолу, знижують ЧСС, підвищують тонус міокарда (див. Серцеві глікозиди). Особливістю глікозидів серцевої групи є їх кумуляція (накопичення) в організмі. Тому препарати Н. застосовують лише під наглядом лікаря. Препарати Н. шерстистої мають певні переваги над препаратами Н. пурпурової: швидше діють на серце; мають менші кумулятивні властивості та краще переносяться хворими. Препаратами Н. пурпурової є дигітоксин, гітоксин, кордигіт, Н. шерстистої — дигоксин, целанід, ацетилдигітоксин. У нар. медицині Болгарії Н. використовують при шлунковому і кишковому болю, при маткових кровотечах, задусі, водянці; в Англії — як в’яжучий засіб при проносі та пропасниці. У гомеопатії Н. використовують при ревматизмі, слабкому пульсі, катаракті, уретриті, набряках; у ветеринарії — при хронічній серцевій недостатності та у складі репаративної мазі для ссавців і птахів.
Иванов И.И., Ланджев И.И., Нешев Г.К. Билките в България и използването им. — София, 1977; Липницкий С.С., Пилуй А.Ф., Лаппо Л.В. Зеленая аптека в ветеринарии. — Минск, 1995; Муравьева Д.А. Фармакогнозия (с основами биохимии лекарственных растений). — М., 1978; Полная энциклопедия народной медицины / Гл. ред. Г.А. Непокойчицкий. — М., 1999; Растительные ресурсы СССР. Цветковые растения, их химический состав, использование. Семейства Hippuridaceae — Lobeliaceae / Отв. ред. П.Д. Соколов. — СПб, 1991.
